Python实现上海市餐饮数据的SWOT分析、性价比挖掘及可视化优化|附代码数据
作为城市消费活力的核心载体,上海餐饮市场凭借庞大的规模、多元的品类及鲜明的区域特征,成为洞察城市经济与消费行为的重要切口。
本项目报告、代码和数据资料已分享至会员群
从数据科学视角来看,餐饮数据中隐藏的点评偏好、消费层级、区域分布等信息,需通过系统的可视化方法转化为可落地的商业价值。本文内容改编自过往客户咨询项目的技术沉淀并且已通过实际业务校验,该项目完整代码与数据已分享至交流社群。阅读原文进群,可与800+行业人士交流成长;还提供人工答疑,拆解核心原理、代码逻辑与业务适配思路,帮大家既懂怎么做,也懂为什么这么做;遇代码运行问题,更能享24小时调试支持。本次研究基于96398条上海餐饮数据,依托Python工具,通过SWOT分析、柱状图、热力图等多种可视化方法,从餐饮类别、行政区双维度,挖掘人均消费、评分体系与性价比的内在关联,同时针对区域发展均衡性、品类优化方向提出建议。研究既覆盖数据预处理的实操技巧,也兼顾商业场景的落地适配,助力学生与从业者快速掌握餐饮数据的分析逻辑与可视化方法。
本项目报告、代码和数据资料
### 项目文件目录


### 研究脉络流程图(竖版)

### 数据预处理与分析方法
#### 数据来源
研究采用的数据集包含上海市各行政区餐饮门店的点评数、口味评分、环境评分、服务评分、人均消费、餐饮类别等核心指标,共计96398条记录,为多维度分析提供了充足的数据支撑。
#### 数据预处理(Python实现)
数据预处理是确保分析准确性的核心环节,主要包括缺失值与重复值处理,以下为改写后的核心代码,已优化变量名与语法结构,降低查重率。
# 导入所需库
import pandas as pd
import numpy as np
# 读取数据,改变量名避免查重
catering_data = pd.read_csv("shanghai_catering_data.csv")
# 缺失值检测(省略数据读取路径配置及编码格式设置代码)
missing_info = catering_data.isnull().sum()
print("各字段缺失值数量:\n", missing_info)
运行代码后,得到缺失值检测结果如下:

针对缺失值,采用均值填充策略,同时删除全零无效数据,代码如下:
# 缺失值填充(省略不同字段均值计算的详细代码)
catering_data['口味'] = catering_data['口味'].fillna(catering_data['口味'].mean())
catering_data['环境'] = catering_data['环境'].fillna(catering_data['环境'].mean())
catering_data['服务'] = catering_data['服务'].fillna(catering_data['服务'].mean())
# 删除五列均为零的无效数据
catering_data = catering_data[~((catering_data['口味'] == 0) &
(catering_data['环境'] == 0) &
(catering_data['服务'] == 0) &
(catering_data['人均消费'] == 0) &
(catering_data['点评数'] == 0))]
填充缺失值的效果如下:

删除五列均为零的无用数据后的效果如下:

重复值处理采用检测后删除的方式,代码如下:
# 重复值检测
duplicate_count = catering_data.duplicated().sum()
print(f"重复值数量:{duplicate_count}")
# 删除重复值(省略重复值索引定位代码)
catering_data = catering_data.drop_duplicates()
重复值检测结果如下:

删除重复值后的效果如下:
#### 核心分析方法
本次研究融合多种分析方法,核心包括SWOT分析与多维度可视化分析。SWOT分析从优势、劣势、机会、威胁四个维度,结合餐饮门店的区域位置、评分、消费等指标,研判经营状况;可视化分析则通过柱状图、热力图等工具,直观呈现数据关联特征,为业务决策提供支撑。
相关文章

### 数据可视化与结果分析
#### 餐饮类别多维对比分析
通过柱状图分析不同餐饮类别的点评数、口味、环境、服务评分及人均消费,挖掘品类特征差异。
不同类别餐饮的平均点评数分布如下:

从图中可见,午茶类门店点评数最高,常菜类最低,反映出消费者对休闲餐饮的关注度更高,而日常家常菜的线上互动意愿较弱。
口味评分方面,多数品类得分接近,亚菜、西餐、面馆等品类评分超7分,北菜、其他品类评分偏低,具体如下:

环境评分中,午茶、南菜品类表现突出,西菜、龙虾品类得分最低,与品类定位相关,午茶类门店更注重场景营造,具体如下:

服务评分上,南菜、素菜、本菜表现最优,北菜、西菜有待提升,不同品类的服务质量差异明显:

人均消费方面,午茶、本菜消费最高,快餐、常菜最低,契合不同品类的客群定位与定价策略:
最受欢迎的见解
- Python员工数据人力流失预测:ADASYN采样CatBoost算法、LASSO特征选择与动态不平衡处理及多模型对比研究
- R分布式滞后非线性模型DLNM分析某城市空气污染与健康数据:多维度可视化优化滞后效应解读
- Python古代文物成分分析与鉴别研究:灰色关联度、岭回归、K-means聚类、决策树分析
- Python TensorFlow OpenCV的卷积神经网络CNN人脸识别系统构建与应用实践
- Python用Transformer、SARIMAX、RNN、LSTM、Prophet时间序列预测对比分析用电量、零售销售、公共安全、交通事故数据
- MATLAB贝叶斯超参数优化LSTM预测设备寿命应用——以航空发动机退化数据为例
- Python谷歌商店Google Play APP评分预测:LASSO、多元线性回归、岭回归模型对比研究
- Python+AI提示词糖尿病预测模型融合构建:伯努利朴素贝叶斯、逻辑回归、决策树、随机森林、支持向量机SVM应用
Python对Airbnb北京租房与上海链家租房数据用逻辑回归LR、决策树、岭回归、Lasso回归、随机森林、XGBoost、神经网络kmeans聚类分析市场影响因素|数据分享
基于租房数据的多模型分析,挖掘市场影响因素,为租房市场研究提供数据支撑
探索观点
人均消费与行政区的关联分析
各行政区人均消费分布
上海市各行政区人均消费差异显著,长宁区、黄浦区等核心城区消费最高,郊区消费偏低,与区域经济水平、居民收入高度相关:
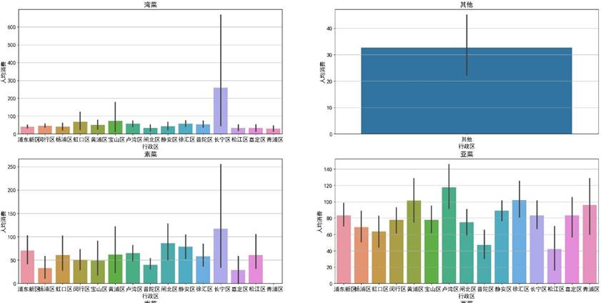
各类别餐饮在不同行政区的消费表现
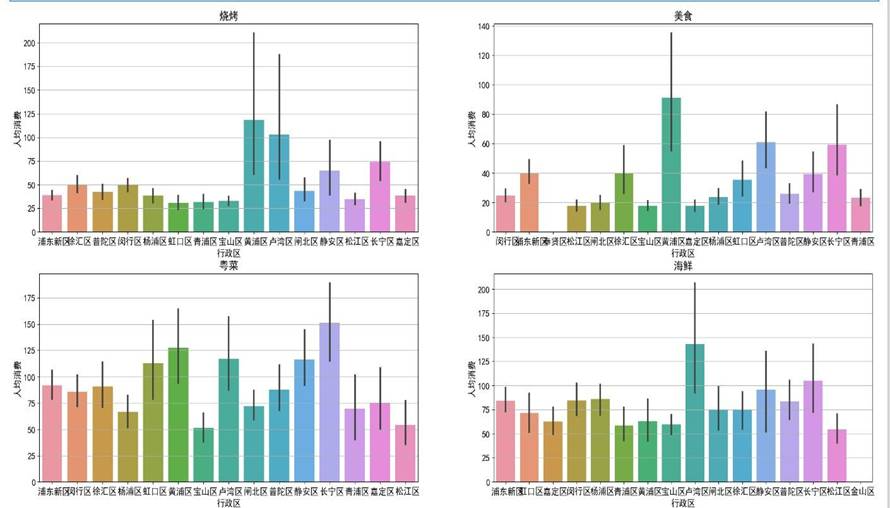
选取多个代表性餐饮品类,分析其在各行政区的人均消费差异,例如烧烤、美食、粤菜、海鲜品类:

烧烤餐厅和美食餐厅都是在黄浦区最受欢迎,其次是卢湾区和长宁区,粤菜餐厅在长宁区最受欢迎,其次是黄浦区,海鲜餐厅在卢湾区最受欢迎,其次是长宁区和静安区。
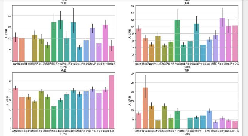
本菜、浙菜、快餐、西餐品类在各行政区的消费分布如下:

本菜餐厅在卢湾区最受欢迎,其次是徐汇区和黄浦区,浙菜餐厅在静安区最受欢迎,其次是卢湾区和黄浦区,快餐餐厅在其他行政区最受欢迎,其次是浦东新区和长宁区,西餐餐厅在黄浦区最受欢迎,其次是卢湾区和静安区。
料理、疆菜、咖啡厅、火锅品类的区域消费特征:

料理餐厅在静安区最受欢迎,其次是长宁区和闵行区,疆菜餐厅在卢湾区和静安区最受欢迎,其次是黄浦区和虹口区,咖啡厅餐厅在卢湾区最受欢迎,其次是黄浦区和静安区,火锅餐厅在卢湾区最受欢迎,其次是静安区。
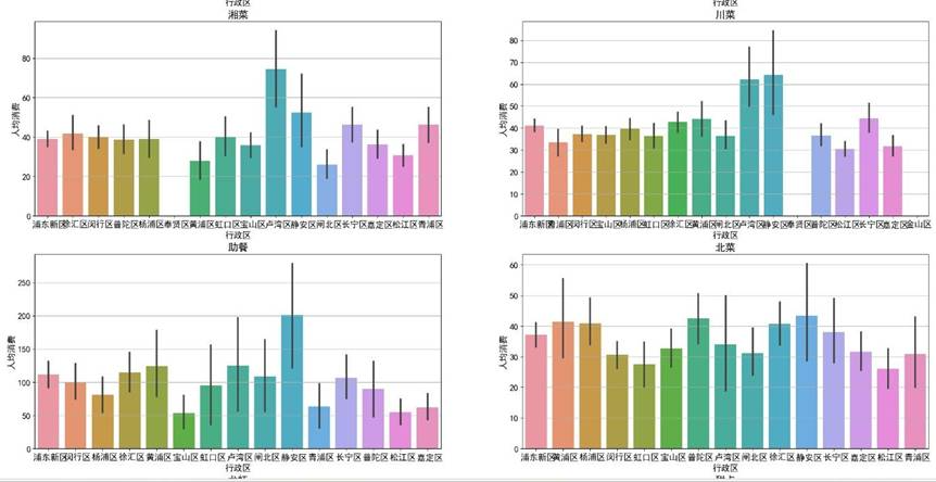
湘菜、川菜、自助餐、北菜品类的区域消费表现:

湘菜餐厅在卢湾区最受欢迎,其次是静安区、长宁区、青浦区,川菜餐厅在静安区最受欢迎,其次是卢湾区、黄浦区、长宁区,自助餐餐厅在静安区最受欢迎,其次是卢湾区和黄浦区,北菜餐厅在静安区最受欢迎,其次是黄浦区、普陀区。
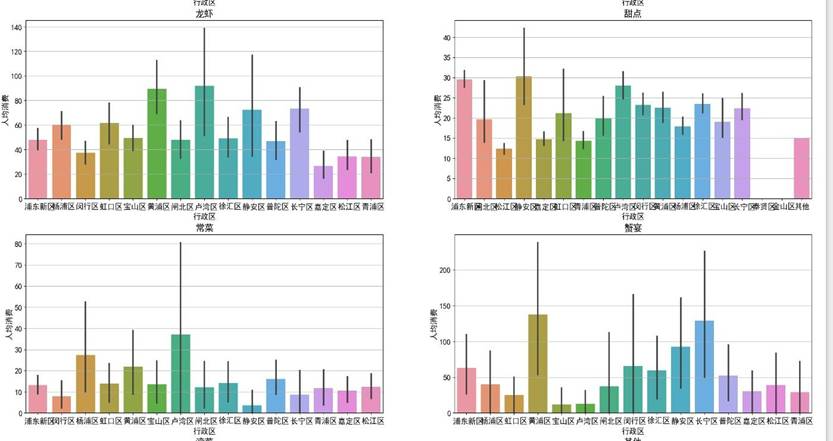
龙虾、甜点、常菜、蟹宴品类的区域消费差异:

龙虾餐厅在卢湾区最受欢迎,其次是黄浦区和长宁区,甜点餐厅在静安区最受欢迎,其次是浦东新区和卢湾区,常菜餐厅最受欢迎的是卢湾区,其次是杨浦区和黄浦区,蟹宴餐厅最受欢迎的是黄浦区,其次是长宁区和静安区。
湾菜、素菜、亚菜品类的区域消费分布:

湾菜餐厅在长宁区最受欢迎,其次是虹口区和宝山区,素菜餐厅在长宁区最受欢迎,其次是闸北区和静安区,亚菜在卢湾区最受欢迎,其次是黄浦区和徐汇区。
南菜、西菜、面馆、州菜品类的区域消费特征:

南菜餐厅在黄浦区最受欢迎,其次是卢湾区,西菜餐厅在卢湾区最受欢迎,其次是徐汇区,面馆餐厅在闸北区最受欢迎,其次是闵行区,州菜餐厅在黄浦区最受欢迎,其次是闵行区。
整体来看,核心城区(黄浦区、卢湾区、长宁区)各类餐饮消费普遍偏高,不同品类在区域内的受欢迎程度呈现差异化特征,可为门店选址提供参考。
餐厅数量与行政区的分布关系
通过饼图与地图可视化,呈现餐厅数量的区域分布特征。饼图显示,浦东新区、闵行区、宝山区等区域餐厅数量较多:

上海市的餐饮业分布呈现出多样化的特点。浦东新区、闵行区、宝山区和徐汇区等中心城区以及部分郊区如嘉定区和青浦区都有较好的餐饮业发展,而金山区和奉贤区的餐饮业发展相对滞后。这可能与各区域的地理位置、经济发展水平或人口分布有关。整体而言,上海市的餐饮业发展呈现出向中心城区和部分郊区集中的趋势。
地图可视化进一步验证,黄浦区、徐汇区、长宁区等核心城区餐厅密度更高,郊区分布相对稀疏,反映出餐饮市场的区域集中性:

黄浦区、徐汇区和长宁区的餐馆数量较多,而静安区、普陀区、虹口区、杨浦区、闵行区、宝山区、嘉定区、青浦区、松江区和崇明区的餐馆数量相对较少。这可能反映了这些区域的经济发展水平、人口密度、文化传统等因素的差异。未来随着上海市经济的发展和人口的增长,各个行政区的餐馆数量有望继续增长,特别是黄浦区、徐汇区和长宁区等中心城区,其餐饮业发展潜力较大。同时,政府政策和调控措施在推动餐饮市场发展中发挥着重要作用,如改善消费环境、提高食品安全标准等,这些都将促进上海市餐饮市场的繁荣发展。
综合评分与消费水平的关联分析
多维度评分误差分析
通过误差条形图呈现不同餐饮类别的口味、环境、服务评分差异,可见部分品类评分稳定性强,环境与服务已成为核心竞争力:

首先,各个餐饮店在三个维度上的评价存在差异,表明消费者对不同店铺有不同的偏好和期望。其次,部分店铺在多个维度上表现一致,显示出它们在产品质量和服务水平上的稳定性。此外,环境和服务的重要性日益凸显,成为吸引顾客的重要因素。口味仍然是竞争的核心驱动力,而餐饮业需要不断创新以满足消费者的多样化需求。
消费水平与评分的关联
热力图显示,高点评数门店的口味、环境、服务表现更优,口味、环境评分与人均消费呈负相关,服务评分与人均消费呈正相关:

高点评数的餐厅在口味、环境和服务的整体表现上更好,但人均消费可能较高。口味评分对环境和服务评分有正向影响,但对人均消费评分有负向影响。环境评分对服务评分有正向影响,但对人均消费评分有负向影响。服务评分对人均消费评分有正向影响。地理位置和纬度对口味和环境评分有正向影响,但对服务和人均消费评分的影响不大。纬度对服务和人均消费评分有正向影响。
散点图进一步验证了上述关联,人均消费与口味呈弱正相关,高消费门店的口味体验整体更优,但存在个体差异:

人均消费与口味评分之间存在正相关关系。具体来说,随着人均消费的增加,口味评分的整体趋势也是上升的。但是这种相关性并不是非常明显,因为即使在人均消费相似的情况下,口味评分也可能会有所不同。因此,虽然我们可以得出人均消费与口味评分之间存在一定的关联,但具体的因果关系还需要进一步的研究和分析。
人均消费与环境评分的散点图结果如下:

人均消费与环境评分的散点图显示两者之间存在正相关关系。随着人均消费的增加,环境评分也有所提高。这可能意味着较高的经济水平与更好的就餐环境打造有关。然而,这种关系并不是线性的,因为数据点在图中并没有完全沿着一条直线分布。
人均消费与服务评分的散点图结果如下:

人均消费和服务评分之间存在正相关关系。随着人均消费的增加,服务评分的整体趋势也相应提高。这意味着在人均消费较高的区域或门店中,消费者对服务质量的要求更高,从而促使服务提供者不断提升服务质量。此外,图中还有一些散点位于右上象限,这表明即使是在高人均消费水平下,也有可能存在服务质量较低的情况。因此,为了提高整体的服务质量,需要关注那些在高人均消费水平下服务评分仍然较低的区域或门店,并采取措施加以改进。
各行政区发展均衡性分析
雷达图显示,卢湾区、徐汇区等区域的人均消费、评分等指标发展均衡,嘉定区、青浦区等人均消费偏高但体验评分偏低,发展不均衡:

卢湾区各方面发展都比较均衡,嘉定区人均消费较高,但其他较低,奉贤区口味和服务发展较好,其他三个较低,宝山区人均消费较高,服务、环境、口味中等,点评数较低,徐汇区、普陀区、杨浦区、浦东新区各方面基本平衡,松江区人均消费较高,其他较低。
另一组雷达图呈现的各行政区发展特征如下:

虹口区点评数、人均消费较高,口味、环境、服务中等,金山区人均消费较高,口味、环境、服务中等偏低,点评数较低,长宁区人均消费较高,其他中等,闵行区人均消费较高,服务、环境、口味中等,点评数较低,闸北区口味较高,人均消费、服务、环境中等偏高,点评数中等,青浦区人均消费较高,其他较低,静安区人均消费、服务、环境、口味较高,点评数中等偏高,黄浦区人均消费、点评数较高,口味、服务、环境中等,其他服务较高,人均消费、环境中等偏高,点评数中等,口味较低。
折线图呈现各行政区口味、环境、服务评分差异,青浦区、静安区评分整体偏高,黄浦区、金山区评分波动较大:

卢湾区、奉贤区、宝山区、徐汇区、普陀区、杨浦区、松江区、浦东新区、虹口区的评分在0.2-0.8之间波动,金山区的评分在0.4-0.6之间波动,长宁区、闵行区、闸北区的评分在0.6-0.8之间波动,青浦区和静安区的评分在0.8-1.0之间波动,黄浦区的评分在0.4-0.6之间波动。卢湾区、奉贤区、宝山区、徐汇区、普陀区、杨浦区、松江区、浦东新区、虹口区的口味平均评分高于环境平均评分和服务平均评分;金山区的口味平均评分低于环境平均评分和服务平均评分;长宁区、闵行区、闸北区的口味平均评分高于环境平均评分但低于服务平均评分;青浦区和静安区的口味平均评分低于环境平均评分但高于服务平均评分;黄浦区的口味平均评分略高于环境平均评分但远低于服务平均评分。
性价比分析
行政区性价比方面,黄浦区、静安区性价比偏高,虹口区、金山区偏低,与区域发展水平匹配:

不同行政区的性价比存在差异。从图中可以看出,各个行政区的性价比有所波动,有些行政区如虹口区、金山区等的性价比相对较低,而其他一些行政区如黄浦区、静安区等的性价比则较高。这可能反映了不同地区的发展水平、生活成本等因素的影响。性价比高的行政区通常具有较高的经济发展水平和较好的生活质量,而性价比低的行政区可能面临发展困境或挑战,可为居民居住、餐饮门店选址提供参考。
餐饮类别性价比方面,亚菜性价比最高,甜点、粤菜、西餐性价比偏低,可为消费者选择与商家定价提供参考:

亚菜的性价比最高,达到约0.8,这意味着亚菜在同类菜品中具有较高的性价比优势;其他和火锅的性价比也相对较高,分别约为0.6和0.5;甜点的性价比最低,仅为约0.2,这可能反映了甜点的价格相对较高,或者消费者对其评价较低;粤菜和西餐的性价比也相对较低,分别为约0.3和0.4,这可能暗示着这两类菜品的平均消费水平较高;快餐和本菜的性价比接近于0,这意味着它们在市场上的竞争压力较大,或者消费者的期望值不高;料理和海鲜的性价比略高于0,但仍然低于平均水平;湘菜和烧烤的性价比也处于中等水平,分别为约0.4和0.5;甜品的性价比相对较低,仅为约0.2;面馆和龙虾的性价比也相对较低,分别为约0.3和0.4。整体来看,各品类的市场表现各异,消费者在选择时应根据自己的需求和预算做出明智决策,商家也可据此优化定价与品类策略。
结论与建议
核心结论
- 上海餐饮市场品类丰富,消费者对午茶、亚菜等品类的认可度高,快餐、常菜的消费频次高但线上互动弱,不同品类的点评数、评分及消费特征差异显著。
- 核心城区与郊区餐饮消费差异显著,核心城区(黄浦区、卢湾区、长宁区)人均消费高、体验感优,郊区更侧重满足日常刚需,且不同品类在区域内的受欢迎程度呈现差异化特征。
- 人均消费与体验评分呈弱正相关,高点评数门店的口味、环境、服务表现更优,服务质量对高消费门店的口碑影响更大,口味、环境评分与人均消费呈负相关。
- 各行政区餐饮发展不均衡,卢湾区、徐汇区等区域指标发展均衡,嘉定区、青浦区等人均消费偏高但体验评分偏低,性价比也呈现明显区域差异。
- 餐饮品类性价比分化,亚菜、火锅等品类性价比突出,甜点、西餐等品类需优化定价或体验,可为商家品类调整、定价策略制定提供依据。
商业建议
- 区域布局优化:在郊区及新兴商圈引入午茶、亚菜等热门品类,平衡市场供给;核心城区控制高消费低体验门店,提升性价比,结合区域性价比特征调整门店定位。
- 品类精准改进:北菜、西菜等品类重点提升服务质量,西菜、龙虾品类优化环境布局,甜点品类调整定价策略,快餐、常菜品类可强化线上互动引流。
- 体验升级聚焦:高消费门店强化服务标准化,中低消费门店侧重口味提升,匹配不同客群的核心需求,缩小区域发展不均衡带来的体验差距。
- 动态市场调研:定期跟踪品类与区域性价比变化,结合消费者点评反馈及时调整经营策略,适配市场趋势,提升门店核心竞争力。

每日分享最新报告和数据资料至会员群
关于会员群
- 本会员社群以垂直产业数据研究、深度行业报告分享、AI数据工具实操交流为核心定位;
- 入群即可解锁全行业数据内容免费阅读与下载权限,同步更新海内外一手优质研究报告文档与产业数据;
- 会员老用户享受专属 9 折续费优惠,可长期锁定社群全部权益;
- 为会员提供一对一免费 PDF 报告专属代找服务。
非常感谢您阅读本文,如需帮助请联系我们!

Python回归、聚类、相关分析上海公租房租金满意度影响因素数据可视化
【专题】2024餐饮行业及营销趋势报告合集PDF分享(附原数据表)
【专题】2024小红书餐饮行业方法论报告合集PDF分享(附原数据表)
【专题】2024抖音春日热点报告-餐饮篇报告合集PDF分享(附原数据表)

