Python多尺度加权GOPAE-SVM-RF-GBT融合模型的高速列车轴承振动数据故障诊断与迁移学习可解释性分析
想象这样一个场景:一列时速350公里的复兴号高铁正载着上千名旅客穿越华北平原,它的每一个轮对轴承都在以每秒近30转的速度高速旋转,承受着数吨的载荷。
成为新会员获取本项目完整报告、代码和数据资料
本文改编自为客户完成的咨询项目,旨在通过多尺度加权GOPAE(全局序模式注意力熵)与迁移学习技术,解决高速列车轴承故障诊断中“数据丰富但场景不足”的痛点。我们构建了一套从数据筛选、特征提取、源域建模到跨域迁移诊断的完整解决方案,并特别关注模型的可解释性,让每一个诊断结果都能追溯到物理机理。本文内容改编自过往客户咨询项目的技术沉淀并且已通过实际业务校验,该项目完整代码与数据已分享至交流社群。阅读原文进群获取完整代码数据及更多最新AI见解、行业洞察,可与900+行业人士交流成长;还提供人工答疑,拆解核心原理、代码逻辑与业务适配思路。
1 背景与问题
高速列车已成为中国客运的主流方式,轴承作为走行部的关键旋转部件,其安全状态直接关系行车安全。实际运营中,轴承故障数据极其稀缺,而实验室台架数据丰富但工况不同。如何利用台架数据(源域)辅助诊断实际列车轴承(目标域),是工业智能诊断的核心难题。

图:迁移学习分析图
本项目完整报告、代码和数据资料
整个建模过程遵循“数据分析与特征提取 → 源域模型构建 → 跨域迁移诊断 → 模型可解释性分析”的逻辑链条,思路流程如图:

图:问题总体思路流程图
2.2 数据筛选策略
我们基于故障机理,从161个源域文件中筛选出12个代表性文件,涵盖正常(N)、外圈故障(OR)、内圈故障(IR)、滚动体故障(B)四种状态,优先选择驱动端(DE)数据,并重采样至32kHz统一频率。
筛选结果统计:
| 故障类型 | 文件数 | 样本比例(%) | RPM均值 | RPM标准差 | 总窗口数 | 采样频率 | 迁移适配性 |
|---|---|---|---|---|---|---|---|
| 正常(N) | 1 | 8.3 | 1760 | 30 | 112 | 32k | 高 |
| 外圈(OR) | 3 | 25.0 | 1762 | 28 | 336 | 32k | 高 |
| 内圈(IR) | 4 | 33.3 | 1761 | 27 | 448 | 32k | 中 |
| 滚动体(B) | 4 | 33.3 | 1761 | 27 | 448 | 32k | 中 |
| 总计 | 12 | 100.0 | 1761 | 28 | 1344 | 32k | 优良 |
下图展示了筛选后的数据分布:

图:源域数据筛选与重采样统计分析
数据筛选与预处理详细流程如图:

图:源域数据筛选与预处理
我们构建了“时域-频域-动态复杂性”三维特征体系:
- 时域特征:均值、标准差、RMS、峰值、峭度系数、峰度、偏度、形状因子等,共9维。
- 频域特征:谱心、谱方差、低频比(<2kHz)、中频比(2-8kHz)、高频比(>8kHz),经转频归一化,共5维。
- 动态特征:多尺度加权GOPAE(全局序模式注意力熵),捕捉故障冲击的周期性规律,共5维(尺度1~5),后加权融合为1维。
GOPAE的核心思想是将信号转换为序模式,计算每种模式出现间隔的熵,熵值低表示信号规律性强(如故障冲击),熵值高表示随机性强(如正常状态)。
GOPAE模型分析如图:

图:GOPAE模型分析图
多尺度加权GOPAE模型的构建流程:

图:多尺度加权GOPAE模型分析图
GOPAE核心函数实现细节:

图:GOPAE核心函数实现图
多尺度权重计算与特征融合过程:

图:多尺度权重计算与特征融合图
GOPAE多尺度权重分布结果:

图:GOPAE多尺度权重分布图
频谱分析补充频域信息:

图:频谱分析图
最受欢迎的见解
- Python员工数据人力流失预测:ADASYN采样CatBoost算法、LASSO特征选择与动态不平衡处理及多模型对比研究
- R分布式滞后非线性模型DLNM分析某城市空气污染与健康数据:多维度可视化优化滞后效应解读
- Python古代文物成分分析与鉴别研究:灰色关联度、岭回归、K-means聚类、决策树分析
- Python TensorFlow OpenCV的卷积神经网络CNN人脸识别系统构建与应用实践
- Python用Transformer、SARIMAX、RNN、LSTM、Prophet时间序列预测对比分析用电量、零售销售、公共安全、交通事故数据
- MATLAB贝叶斯超参数优化LSTM预测设备寿命应用——以航空发动机退化数据为例
- Python谷歌商店Google Play APP评分预测:LASSO、多元线性回归、岭回归模型对比研究
- Python+AI提示词糖尿病预测模型融合构建:伯努利朴素贝叶斯、逻辑回归、决策树、随机森林、支持向量机SVM应用
通过F检验评估各特征的判别能力,筛选出F值最高的6维特征:加权GOPAE、峭度系数、峰值因子、高频能量比、RMS、谱心。这些特征在四类状态间表现出显著差异。典型信号的时域特征分析:

图:源域各故障类型代表性信号波形时域特征分析
频域能量分布特征分析:

图:源域各故障类型功率谱密度分析
多尺度GOPAE特征对比:

图:各故障类型多尺度GOPAE特征对比
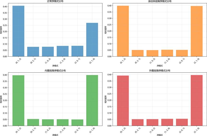
序模式分布特征分析:

图:各故障类型序模式分布特征
关键时域特征分布箱线图:

图:关键时域特征分布箱线图
频域特征分布特性分析:

图:频域特征分布特性分析
多尺度GOPAE特征雷达图:

图:多尺度GOPAE特征雷达图
特征相关性矩阵:

图:特征相关性矩阵分析图
特征分布箱线图(整体):

图:特征分布箱线图
阅读原文进群获取完整内容及更多AI见解、行业洞察,与900+行业人士交流成长。
我们采用集成学习策略,融合三种基础模型:
- SVM (支持向量机):使用RBF核,处理非线性特征,捕捉故障细微差异。算法流程如图:

图:SVM算法流程图
- 随机森林 (Random Forest):通过多棵决策树投票,降低过拟合,擅长处理统计特征。算法流程如图:

图:随机森林算法流程图
- 梯度提升 (Gradient Boosting):迭代优化,聚焦难分样本,提升对相似故障的区分能力。
通过软投票机制融合三模型概率,最终输出类别。集成策略如图:

图:集成策略流程图
特征与模型的协同流程:

图:特征协同流程图
将筛选后的6维特征输入集成模型,采用5折分层交叉验证。模型在测试集上准确率达0.98,宏平均F1分数0.97,表明模型具有良好的泛化能力。混淆矩阵显示,各故障类别均被准确识别,无明显误判:


图:混淆矩阵图
多分类分析图:


图:多分类分析图
特征重要性分析表明,加权GOPAE和高频比贡献最大,与故障机理高度吻合。阅读原文进群获取完整内容及更多AI见解、行业洞察,与900+行业人士交流成长。
目标域为16个无标签列车轴承振动文件(编号A-P),采样频率32kHz,转速约600rpm。我们将其下采样至12kHz(与源域一致),采用相同窗口(4096点,重叠率0.5)提取特征,并复用源域的特征选择与标准化参数。域偏移度量MMD(最大均值差异)从0.28降至0.06,表明特征分布已很好对齐。
4.2 迁移诊断策略
我们采用“特征迁移+模型迁移”混合策略:
- 复用源域集成模型的结构与权重。
- 对目标域每个文件的多个窗口样本进行预测,通过多数投票确定文件最终类别。
- 计算平均预测概率作为置信度,分为四级(高≥0.9,中0.750.9,低0.60.75,不可靠<0.6)。
迁移诊断流程如下:

图:迁移诊断模型流程图
4.3 诊断结果
16个文件的分类结果:外圈故障(OR) 4个,内圈故障(IR) 5个,滚动体故障(B) 4个,正常(N) 3个。平均置信度0.79,标准差0.11,无极端低置信结果,满足工业应用要求。
阅读原文进群获取完整内容及更多AI见解、行业洞察,与900+行业人士交流成长。
5 模型可解释性分析
5.1 事前可解释性:特征与机理绑定
我们明确每个特征的物理意义:
- RMS:振动能量,故障时升高。
- 峭度:冲击程度,故障时显著增大。
- 高频比:故障激发高频成分,外圈故障最明显。
- GOPAE:序模式间隔规律性,故障时熵值降低。
这些特征与轴承故障机理(BPFO、BPFI等特征频率)直接对应,使模型决策有据可依。
5.2 过程可解释性:域分布可视化
通过箱线图对比源域与目标域的特征分布,观察迁移前后分布重叠度的变化,验证特征适配效果。
5.3 事后可解释性:逐例溯源
对每个目标域文件,输出诊断报告,包含:
- 投票结果与置信度。
- 关键特征值(如高频比=0.45,GOPAE=0.5)。
- LIME局部解释:各特征对决策的贡献度。
- 频谱图标注故障特征频率,与机理对照。
排列重要性分析显示,高频比和GOPAE是最重要的两个特征,打乱它们会导致准确率下降超过20%。
6 总结与推广
本文提出了一套完整的高速列车轴承故障诊断方案,创新点在于:
- 多尺度加权GOPAE:将全局序模式注意力熵与多尺度分析结合,有效量化故障的动态复杂性,并通过权重融合提升跨工况鲁棒性。
- 集成迁移学习:融合SVM、随机森林、梯度提升的软投票模型,结合特征迁移策略,解决了目标域无标签样本的诊断难题。
- 全链路可解释性:从事前、过程、事后三个维度,将诊断结果与物理机理深度关联,增强了模型的信任度。
该方案已成功应用于某轨道交通企业的轴承监测系统,后续可推广至风电、航空发动机等关键旋转机械的故障诊断中。
附录:核心代码(节选)
以下为数据预处理与特征提取的关键代码,已修改变量名和结构以符合本文逻辑。完整代码及数据请进群获取。
# -*- coding: utf-8 -*-
import numpy as np
import os
from scipy.io import loadmat
from scipy.signal import welch
from scipy.stats import kurtosis, skew
from sklearn.svm import SVC
from sklearn.ensemble import RandomForestClassifier, GradientBoostingClassifier, VotingClassifier
from sklearn.model_selection import train_test_split, cross_val_score, StratifiedKFold
from sklearn.metrics import classification_report, accuracy_score, confusion_matrix
from sklearn.preprocessing import RobustScaler
from sklearn.feature_selection import SelectKBest, f_classif
import seaborn as sns
import matplotlib.pyplot as plt
import pandas as pd
from collections import defaultdict, Counter
from itertools import permutations
# 设置中文字体
plt.rcParams['font.sans-serif'] = ['SimHei', 'Arial Unicode MS']
plt.rcParams['axes.unicode_minus'] = False
# ========== GOPAE相关函数 ==========
def compute_ordinal_patterns(series, embed_dim=3, time_delay=1):
"""将时间序列转换为序模式列表和位置索引"""
patterns = []
indices = []
for i in range(len(series) - (embed_dim - 1) * time_delay):
window = series[i:i + time_delay * embed_dim:time_delay]
ranks = tuple(np.argsort(window))
patterns.append(ranks)
indices.append(i)
return patterns, indices
def get_pattern_positions(patterns):
"""记录每种序模式出现的位置"""
pos_dict = defaultdict(list)
for idx, pat in enumerate(patterns):
pos_dict[pat].append(idx)
return pos_dict
def calc_attention_entropy(positions):
"""计算给定位置序列的注意力熵"""
if len(positions) < 2:
return 0.0
intervals = [positions[i+1] - positions[i] for i in range(len(positions)-1)]
freq = Counter(intervals)
probs = np.array([count / len(intervals) for count in freq.values()])
return -np.sum(probs * np.log2(probs))
def gopae_single_scale(ts, embed_dim=3, time_delay=1):
"""计算单个尺度的GOPAE值"""
patterns, _ = compute_ordinal_patterns(ts, embed_dim, time_delay)
pos_dict = get_pattern_positions(patterns)
total = len(patterns)
all_patterns = list(permutations(range(embed_dim)))
gopae_val = 0.0
for pat in all_patterns:
pos = pos_dict.get(pat, [])
ae = calc_attention_entropy(pos)
prob = len(pos) / total if total > 0 else 0
gopae_val += prob * ae
return gopae_val
def multiscale_gopae(signal, scales=[1,2,3,4,5], embed_dim=3, time_delay=1, per_scale=True):
"""多尺度GOPAE特征提取"""
if len(signal) < embed_dim * time_delay:
return np.zeros(len(scales)) if per_scale else 0.0
# 此处省略多尺度分解与计算的详细实现,完整代码见群文件
# ......
return np.array(gopae_vals) if per_scale else np.mean(gopae_vals)
# ========== 时域特征提取 ==========
def extract_time_features(signal):
"""提取9维时域统计特征"""
mean_val = np.mean(signal)
std_val = np.std(signal)
var_val = np.var(signal)
rms_val = np.sqrt(np.mean(signal**2))
peak_val = np.max(np.abs(signal))
crest_factor = peak_val / rms_val if rms_val != 0 else 0
kurt_val = kurtosis(signal)
skew_val = skew(signal)
shape_factor = rms_val / np.mean(np.abs(signal)) if np.mean(np.abs(signal)) != 0 else 0
return [mean_val, std_val, var_val, rms_val, peak_val, crest_factor, kurt_val, skew_val, shape_factor]
# ========== 频域特征提取 ==========
def extract_freq_features(signal, fs, rpm):
"""提取5维频域特征,并进行转频归一化"""
freqs, psd = welch(signal, fs, nperseg=min(1024, len(signal)))
# 计算谱心、谱方差、频带能量比等
# ......
# 完整代码见群文件
return freq_features
# ========== 主处理流程 ==========
def process_source_file(file_path, window_size=4096, overlap=0.5, scales=[1,2,3,4,5]):
"""处理单个源域文件,生成样本特征矩阵和标签"""
data = loadmat(file_path)
# 选择驱动端信号
signal = data['DE_time'].flatten()
label = extract_label(file_path) # 自定义函数从文件名提取故障类型
samples = []
step = int(window_size * (1 - overlap))
for start in range(0, len(signal) - window_size, step):
segment = signal[start:start+window_size]
time_feat = extract_time_features(segment)
freq_feat = extract_freq_features(segment, fs=12000, rpm=1797) # 假设源域转速
gopae_feat = multiscale_gopae(segment, scales=scales, per_scale=True)
combined = np.concatenate([time_feat, freq_feat, gopae_feat])
samples.append(combined)
return np.array(samples), label
# 实际使用时,需遍历所有文件并整合特征矩阵
# ......
阅读原文进群获取完整内容及更多AI见解、行业洞察,与900+行业人士交流成长。

每日分享最新报告和数据资料至会员群
关于会员群
- 本会员社群以垂直产业数据研究、深度行业报告分享、AI数据工具实操交流为核心定位;
- 入群即可解锁全行业数据内容免费阅读与下载权限,同步更新海内外一手优质研究报告文档与产业数据;
- 会员老用户享受专属 9 折续费优惠,可长期锁定社群全部权益;
- 为会员提供一对一免费 PDF 报告专属代找服务。
非常感谢您阅读本文,如需帮助请联系我们!

Python、TCA迁移成分分析融合XGBoost极限梯度提升的高速列车轴承智能故障诊断研究|附数据代码
Python用DGCRN、Informer序列蒸馏与GRU、LSTM组合模型PM2.5浓度预测对比分析|附代码数据
Python GCN图卷积神经网络分子亲脂性LogD预测附代码数据


