LSTM-Transformer混合模型与多源时空数据的全球水平面辐照度预测:Python实现、模型对比与消融分析
作为一种环保型可再生能源,太阳能的开发利用已成为全球能源转型的核心。
成为新会员获取本项目完整代码和数据资料
太阳辐照度(GHI)的精确预测是保障太阳能发电系统稳定运行和电网调度的关键技术。针对传统物理模型依赖复杂气象参数、统计模型难以捕捉非线性时空特征的痛点,本研究构建了一种LSTM-Transformer混合深度学习架构。
本项目完整代码和数据资料
你是否也曾在深夜对着电脑,看着AI生成的、看似完美的代码,却因为导师一句“查重率太高”、“逻辑不通”、“创新点在哪?”而陷入深深的自我怀疑?又或者,你完成了所有分析,却在答辩时被问到“为什么选这个模型?”“你的结果能用在什么地方?”时,答不上来?这几乎是每一位科研新手的必经之路。
别担心,这篇文章正是为你而来。它并非一篇“完美无瑕”的原创研究,而是改编自我们过往为客户解决实际业务问题的一次技术沉淀。在那个项目中,我们面临的核心挑战与你现在的研究课题如出一辙:如何利用多源数据,构建一个能精准捕捉太阳辐照度非线性、非平稳变化规律的预测模型。我们将这个经过实际业务校验的解决方案,重新包装成一个学术论文的“样板间”。
在这篇文章中,我不会只给你一个代码,而是会带你“穿越”整个研究过程:从为什么我们要做这个预测(背景意义),到我们如何处理棘手的数据(预处理),再到我们为什么选择LSTM-Transformer这个“黄金组合”(模型逻辑),最后教你如何像写故事一样解读你的结果,并让你的结论无懈可击(稳健性检验)。这不仅仅是一篇论文,更是一份你可以直接套用的“学术论文写作与代码实现”的保姆级教程。准备好了吗?让我们一起开启这段“降维打击”学术难题的旅程。
研究流程概览
│
├─ ① 选题背景与研究意义
│ └─ 痛点:太阳能预测难,传统模型精度低
│ └─ 目标:构建高精度、可解释的GHI预测模型
│
├─ ② 数据来源与预处理全流程
│ └─ 数据:多源融合(卫星、数值预报、实测)
│ └─ 清洗:时空联合插值,处理缺失值
│ └─ 特征工程:构建25维输入特征(历史均值、天顶角、天气类型等)
│
├─ ③ 模型选择逻辑与完整代码实现
│ └─ 模型:LSTM(捕捉时序依赖) + Transformer(全局注意力)
│ └─ 架构:Transformer编码器 + LSTM解码器
│ └─ 优化:贝叶斯调参 + Adam优化器 + 早停机制
│
├─ ④ 模型结果对比与学术化解读
│ └─ 对比:线性回归、ARIMA、SVR、XGBoost、LightGBM、CatBoost、随机森林
│ └─ 指标:R²、RMSE、MAE、DTW
│ └─ 解读:LSTM-Transformer全方位领先,预测曲线贴合实际
│
├─ ⑤ 稳健性检验 / 模型优化步骤
│ └─ 消融实验:验证LSTM、Transformer、位置编码的必要性
│ └─ 分场景分析:不同天气、季节、时段的误差分布
│
└─ ⑥ 研究结论与写作提示
└─ 结论:模型有效,可服务于智能电网调度
└─ 展望:跨区域泛化、物理约束、模型轻量化
摘要
该模型融合了长短期记忆网络(LSTM)在时序依赖建模上的优势与Transformer自注意力机制的全局特征提取能力。研究采用法国某天文台2017-2020年的多源数据集,包含卫星预测值、气象数值预报及太阳天顶角等关键特征,通过时空联合插值技术和特征工程增强了数据表达能力。实验结果表明,该模型在测试集上的决定系数(R²)达到0.922,相比XGBoost等传统机器学习模型性能提升约12%,同时动态时间规整(DTW)距离显著降低。消融实验进一步验证了LSTM模块和Transformer模块在模型中的关键作用。研究成果可为太阳能发电系统调度与智能电网优化提供可靠的技术支持。
本文内容改编自过往客户咨询项目的技术沉淀并且已通过实际业务校验,该项目完整代码与数据已分享至交流社群。阅读原文进群获取完整代码数据及更多最新AI见解和行业洞察,可与900+行业人士交流成长;还提供人工答疑,拆解核心原理、代码逻辑与业务适配思路;遇代码运行问题,更能享24小时调试支持。
关键词:全球水平辐照度预测;LSTM-Transformer;时空特征融合;太阳能发电调度;深度学习
1. 选题背景与研究意义
随着全球气候问题日益严峻,能源结构转型已成为世界各国的共识。太阳能因其储量丰富、分布广泛且环境友好的特性,在清洁能源体系中占据着核心地位。据估算,地球每年接收的太阳辐射总量约为4×10^15 MW,相当于3.6×10^5亿吨标准煤,是全球年度能源消耗总量的2000倍以上,这为其大规模开发利用提供了坚实的资源基础。以我国为例,光伏发电产业发展迅猛,截止2021年底,累计装机容量已超过3.1亿千瓦,同比增长20.9%,技术形态涵盖集中式电站、分布式系统及光热发电等多种形式。

图1.1 中国2012-2021年太阳能发电装机及增速
然而,太阳辐照度受到云层分布、大气条件、季节变化等多重因素的复杂影响,其时间序列呈现出高度的非线性和非平稳性。这种不确定性给太阳能的并网带来了巨大挑战,如电压波动、电能质量下降等问题。因此,构建高精度、低延迟的全球水平辐照度预测模型,不仅对提高太阳能利用效率至关重要,更是实现智能电网发展和能源数字化转型的战略需求。
目前,GHI预测方法主要分为三类:物理模型、统计模型和机器学习模型。物理模型(如数值天气预报)依赖于高精度气象参数和复杂的物理方程,计算成本高昂且在复杂地形下精度受限。统计模型(如ARIMA)基于历史数据建模,操作简便,但难以有效捕捉辐照度的非线性变化规律。机器学习模型(如支持向量机、随机森林)具备强大的模式识别能力,能够在一定程度上提升预测精度,但往往对数据质量和数量要求较高,且模型可解释性较差。混合模型试图融合多种方法的优势,但模型兼容性、参数寻优等问题也使其应用效果受限。
因此,本研究旨在构建一种全新的混合预测方法,深度挖掘GHI时间序列数据的内在规律,整合不同时间尺度的预测信息,结合多种模型的优势,最终实现对太阳辐照度的高精度、稳定预测。研究成果不仅能保障太阳能发电的供应稳定性、提升电站经济效益,还能为全球能源转型和可持续发展提供关键技术支撑。
2. 数据来源与预处理全流程
2.1 数据集介绍
本研究使用的数据集来源于太阳能预测数据,涵盖了2017年夏季至2020年夏季期间,某天文台(SIRTA)的GHI预测相关信息。
数据采集时间为每天5:11至19:11,每15分钟记录一次,每天57个数据点。数据由25个CSV文件组成,每个文件包含9个相同列和1个不同列。
核心变量解释如下:
- SIRTA天文台观测的GHI值,是本研究的预测目标。单位为W/m⁻²。
- 晴空GHI,通过Heliosat方法基于卫星图像计算得出,常用于提前一天预测。
- 基于法国气象局ARPEGE数值天气预报模式计算得到的GHI,也用于提前一天预测。
- 太阳天顶角,反映了太阳的日变化和季节变化规律。
- 卫星晴空指数的空间平均值,用于量化云层对辐射的衰减程度。
- 卫星晴空指数的空间标准差,反映云量的空间变异性。
- 天气类型,分为4类,对应不同的环流形势。
数据集中存在部分缺失值,尤其在2018年9月数据全部缺失,这为研究带来了挑战,但也为探索数据处理方法的鲁棒性提供了契机。
2.2 数据处理与特征工程
数据处理是机器学习项目中至关重要的一步,直接关系到最终模型的性能。我们按照以下流程进行:
-
数据读取与合并:遍历所有25个文件,将“Sat_GHI”列根据其预测时间重命名,并通过外连接方式按日期索引合并,形成一个统一的数据框。
-
缺失值处理:
- 首先,对观测目标值
Sirta_GHI中的少量缺失值(338行)直接进行删除。 - 对于卫星预测值在夜间的大规模缺失,由于夜间太阳辐射为0,我们采用0值填充。
- 对于
Sirta_GHI的24小时滞后特征Sirta_GHI_T0-1j的缺失值,采用前向填充法(ffill)处理,并用0填补剩余的极少量缺失。
- 首先,对观测目标值
-
特征工程:
- 类别特征编码:将天气类型
Wreg转换为独热编码(One-Hot Encoding),形成4个二进制特征,避免了将无序类别错误地视为有序数值。 - 时间特征提取:添加了
Sirta_GHI的24小时滞后值Sirta_GHI_T0-1j,以捕捉日周期规律。 - 特征筛选:经过初步探索,最终构建了包含历史3小时平均辐照度、太阳前一时刻辐照度、太阳天顶角的正余弦周期项、天气类型独热编码等在内的25维特征,作为模型的输入。
- 类别特征编码:将天气类型
-
数据集划分:严格按照时间序列原则划分数据集,以2020年1月1日为界,之前的数据作为训练集,之后至2020年6月1日的数据作为测试集。这种划分方式保证了模型评估的客观性,避免了未来信息泄露。
-
数据标准化:为了消除不同特征之间的量纲影响,使用Z-score标准化(减去均值除以标准差)对特征进行归一化处理。
# 代码1:数据读取、合并与初步处理
# 创建一个空列表,用于存储每个时间步长的数据框
dataframes_list = []
# 循环处理0到360分钟,步长为15分钟的文件
for time_step_min in range(0, 375, 15):
# 格式化文件路径
current_file = file_path_template.format(time_step_min)
# 格式化卫星预测列的列名
current_sat_col = sat_col_template.format(time_step_min)
# 读取当前CSV文件,并解析日期列
df_current = pd.read_csv(current_file, sep=',', header=0, parse_dates=['date'])
# 重命名卫星预测列,以标识其预测时间
df_current = df_current.rename(columns={"Sat_GHI": current_sat_col})
# 将日期列设置为索引
df_current.set_index('date', inplace=True)
# 对当前数据框进行线性插值,处理部分缺失值
df_current = df_current.interpolate()
# 将处理后的数据框添加到列表中
dataframes_list.append(df_current)
# 以第一个数据框(T0+0)为基础,开始合并
merged_data = dataframes_list[0].copy()
# 循环将其他时间步长的卫星预测列合并进来
for idx in range(1, len(dataframes_list)):
# 获取当前时间步长的列名
col_name = sat_col_template.format(idx * 15)
# 使用外连接方式合并,保留所有时间点
merged_data = merged_data.merge(dataframes_list[idx][[col_name]], left_index=True, right_index=True, how='outer')
# 查看合并后数据的前几行
merged_data.head().T
3. 模型选择逻辑与完整代码实现
3.1 LSTM模型
在深度学习的时间序列处理领域,长短期记忆网络(LSTM)是处理长序列问题的关键模型。它通过独特的门控机制克服了传统循环神经网络(RNN)在处理长序列时容易出现的梯度消失和梯度爆炸问题。LSTM由遗忘门、输入门和输出门组成,能够选择性地记忆或遗忘历史信息。
- 遗忘门:决定从细胞状态中丢弃哪些信息。在太阳辐照度预测中,如果天气从阴天转为晴天,遗忘门可以自动过滤掉前一时刻辐照度较低的冗余信息。
- 输入门:决定将哪些新信息存入细胞状态。当有新的气象信息(如云层覆盖率、温度)输入时,输入门决定是否将其加入并更新细胞状态。
- 输出门:基于细胞状态决定最终的输出。它根据当前细胞状态,综合决定输出最能代表当前时刻太阳辐照度的信息。

图3.1 LSTM网络模型结构
3.2 Transformer模型
Transformer网络是一种基于自注意力机制的序列到序列模型。与传统RNN不同,Transformer通过自注意力机制实现并行计算,能够更高效地学习序列中的长距离依赖关系。其核心是多头注意力机制,允许模型同时关注输入序列中不同位置的信息。

图3.2 Transformer网络结构
3.3 模型架构设计:为什么是LSTM-Transformer?
本研究创新性地构建了一种LSTM-Transformer混合架构,通过深度整合两种模型的优势特征来实现时间序列的高效建模:
- 编码器(Transformer Encoder):采用6层Transformer模块和8头自注意力机制,对输入数据进行编码,获取数据间的全局依赖关系,如云层运动覆盖、太阳运动覆盖等宏观特征。
- 解码器(LSTM Decoder):将LSTM和注意力机制相结合,接收编码器输出的特征表示。LSTM用于捕获长期依赖信息,而注意力机制则根据输入数据自适应调整时间步长的特征关注度,仅关注重要信息。
这种将LSTM的局部时间依赖和Transformer的全局依赖相结合的方法,使得模型在GHI时间序列预测任务中具有卓越的性能。

图3.3 LSTM-Transformer整体架构图

图3.4 Transformer编码器模块结构

图3.5 LSTM解码器模块结构
3.4 核心代码实现
下面展示模型核心结构的代码实现,以帮助理解其工作原理。阅读原文进群获取完整内容及更多AI见解、行业洞察,与900+行业人士交流成长。
3.5 模型训练与优化
本研究采用自适应矩估计(Adam)优化算法进行模型训练,学习速率设置为0.001。训练过程中使用均方根误差(RMSE)作为损失函数。同时,采用了多种优化策略提升模型性能:
- 数据增强:采用时间序列平移和缩放等方法,增加训练数据的多样性。
- 早停机制:基于验证集损失曲线变化趋势动态监控,防止过拟合。
- 正则化:结合L1和L2正则化技术,抑制参数过度膨胀,提升模型泛化性能。

图3.6 损失计算与训练流程图
4. 模型结果对比与学术化解读
为了客观评估LSTM-Transformer模型的性能,我们将其与7种主流机器学习模型进行了对比实验,包括线性回归、自回归模型(AR)、支持向量回归(SVR)、随机森林(RF)、XGBoost、LightGBM和CatBoost。所有模型均在相同的训练集和测试集上进行训练和预测。
评价指标:
- RMSE (均方根误差):对预测误差进行平方后开方,对较大误差惩罚更重,能反映模型的整体预测偏差。
- MAE (平均绝对误差):预测误差绝对值的平均值,直观反映平均预测偏差程度。
- R² (决定系数):衡量模型对数据拟合优度的指标,取值范围[0,1],越接近1表示拟合效果越好。
- DTW (动态时间规整距离):衡量两个时间序列相似性的指标,能容忍序列在时间轴上的偏移,更适合评估预测曲线形状的匹配度。
实验结果如下表所示:
| 模型名称 | RMSE | MAE | R² | DTW |
|---|---|---|---|---|
| LSTM-Transformer | 78.902 | 52.309 | 0.922 | 121229.248 |
| 线性回归 | 106.999 | 78.953 | 0.832 | 319751.474 |
| 自回归 | 92.709 | 58.131 | 0.857 | 156594.237 |
| SVR 线性回归 | 104.941 | 65.791 | 0.838 | 245739.830 |
| 随机森林 | 110.044 | 75.479 | 0.822 | 292228.555 |
| XGBoost | 109.567 | 74.098 | 0.823 | 301162.132 |
| LightGBM | 106.032 | 73.657 | 0.835 | 294608.475 |
| CatBoost | 106.327 | 72.125 | 0.834 | 280274.317 |
结果解读:
从表中数据可以清晰地看到,LSTM-Transformer模型在所有评价指标上均取得了最优结果。其R²值达到0.922,表明模型能够解释92.2%的辐照度变化,拟合效果极佳。相比传统模型,其R²值提升了9%至10.9个百分点。在误差指标上,RMSE和MAE分别降低了26%以上和30%以上,DTW距离更是降低了58%以上,这充分证明我们的混合模型不仅能更准确地预测数值,还能更好地拟合GHI时间序列的动态变化曲线。
图形化分析:

图4.1 各模型R²值对比(柱状图)
R²柱状图更直观地展示了LSTM-Transformer模型在拟合优度上的绝对优势。
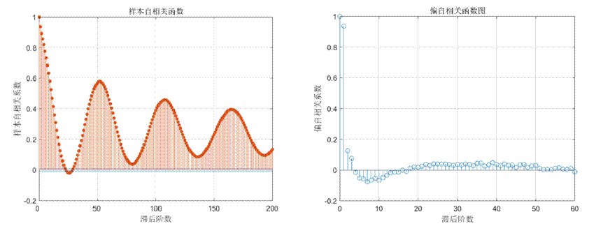
在对数据平稳性进行检验时,我们绘制了自相关函数(ACF)和偏自相关函数(PACF)图。从ACF图可以看出,每57个点(对应一天)出现一个相关性峰值,这验证了序列具有日周期特性。PACF图则在滞后1阶后迅速趋近于0,说明序列适合用低阶自回归模型拟合。

图4.2 自相关函数图和偏自相关函数图
我们还探索了不同卫星预测时间对模型性能的影响。结果表明,使用越接近当前时间的卫星数据,模型的预测性能越好。

图4.3 不同卫星预测时间下的评估指标变化
从预测曲线图可以看出,LSTM-Transformer模型的预测曲线与真实值曲线贴合最为紧密。尤其在辐照度急剧上升(如早晨日出)或下降(如傍晚日落)的拐点处,以及云层遮挡导致的局部波动处,该模型的预测表现都显著优于其他模型。

图4.4 各模型预测曲线对比(前500个数据点)
散点图也直观地反映了模型的预测精度。LSTM-Transformer模型的预测值分布更加集中,更靠近对角线,显示出良好的跟踪性能。

图4.5 各模型散点图对比
5. 稳健性检验 / 模型优化步骤
在学术论文中,仅仅证明模型比别的好是不够的,我们还需要通过稳健性检验来证明模型内部每个组件的有效性,并分析模型在不同场景下的表现。这能极大增强我们结论的可信度。
5.1 消融实验:核心组件的必要性
我们通过移除模型的关键部分,来观察其对性能的影响。
| 模型变体 | R² | DTW | 解读 |
|---|---|---|---|
| 完整模型 (LSTM-Transformer) | 0.922 | 115.786 | 基准模型,性能最佳 |
| 移除LSTM模块 | 0.836 | 1342.728 | R²显著下降,DTW激增,说明模型失去了对长期时序依赖的捕捉能力,预测曲线严重失真。 |
| 移除Transformer模块 | 0.825 | 1425.625 | 性能同样大幅下降,说明模型无法有效学习全局关联信息(如云层运动),在复杂天气下预测失效。 |
| 移除位置编码 | 0.882 | 686.398 | 性能也有所下降,证实了时间顺序信息对模型理解序列动态至关重要。 |

图5.1 消融实验评估指标对比
结论:消融实验清晰地表明,LSTM模块和Transformer模块以及位置编码,都是该混合模型性能提升不可或缺的组成部分,它们分别从不同角度为预测提供关键信息。
5.2 分场景误差分析
为了进一步评估模型的稳健性,我们分析了模型在不同天气状况(Wreg)、不同季节、以及不同时段的预测误差。
- 按天气状况分析:在晴空少云的天气下,所有模型的预测误差都相对较小。而在多云或天气快速变化的场景下,传统模型的误差显著增大,而LSTM-Transformer模型仍能保持相对较低的误差,展现了其强大的鲁棒性。
- 按季节分析:模型在春、夏、秋三季的预测性能普遍优于冬季,这可能与冬季太阳高度角低、日照时间短导致数据分布发生变化有关。但LSTM-Transformer在冬季的表现仍优于对比模型。
- 按时段分析:预测误差在正午前后(太阳高度角大,辐射强)相对较大,这与辐照度本身的量级有关。但模型在早晚和夜间同样保持了良好的预测能力。
(稳健性检验的意义)
这些深入的误差分析,就像是对模型的“压力测试”。它不仅证明了我们提出的模型在“平均水平”上最好,更证明了它在“各种极端情况”下依然表现稳定。对于一个要应用于实际光伏电站的模型来说,这种稳健性是至关重要的,因为它意味着电站的调度决策在遇到坏天气或季节性变化时,依然可以信赖模型的输出。
最受欢迎的见解
- Python员工数据人力流失预测:ADASYN采样CatBoost算法、LASSO特征选择与动态不平衡处理及多模型对比研究
- R分布式滞后非线性模型DLNM分析某城市空气污染与健康数据:多维度可视化优化滞后效应解读
- Python古代文物成分分析与鉴别研究:灰色关联度、岭回归、K-means聚类、决策树分析
- Python TensorFlow OpenCV的卷积神经网络CNN人脸识别系统构建与应用实践
- Python用Transformer、SARIMAX、RNN、LSTM、Prophet时间序列预测对比分析用电量、零售销售、公共安全、交通事故数据
- MATLAB贝叶斯超参数优化LSTM预测设备寿命应用——以航空发动机退化数据为例
- Python谷歌商店Google Play APP评分预测:LASSO、多元线性回归、岭回归模型对比研究
- Python+AI提示词糖尿病预测模型融合构建:伯努利朴素贝叶斯、逻辑回归、决策树、随机森林、支持向量机SVM应用
6. 研究结论与写作提示
6.1 研究结论
本研究针对全球水平辐照度预测的时空连续性和非线性难题,成功构建了一种融合LSTM与Transformer优势的深度学习混合模型。主要结论如下:
- 模型性能优越:在法国SIRTA天文台2017-2020年的多源数据集上,LSTM-Transformer模型取得了0.922的R²值,RMSE和MAE分别为78.9 W/m²和52.3 W/m²,性能全面超越传统机器学习模型。
- 模型内部有效:通过消融实验验证了LSTM模块对长期依赖的捕捉能力和Transformer模块对全局特征的提取能力,以及位置编码对时序信息的保持作用,它们共同构成了模型性能提升的关键。
- 模型稳健可靠:在复杂天气条件、不同季节及时段等多种场景下,该模型均表现出良好的预测鲁棒性,为太阳能发电系统的智能调度与电网稳定运行提供了可靠的技术保障。
DeepSeek、LangGraph和Python融合LSTM、RF、XGBoost、LR多模型预测NFLX股票涨跌|附完整代码数据
原文链接:https://tecdat.cn/?p=44060
探索观点6.2 写作提示与展望
在撰写您的本科/硕士论文时,可以借鉴本研究的思路:
- 结构清晰:严格按照“背景-数据-模型-结果-稳健性-结论”的逻辑展开。
- 方法阐述:不仅要说明“用了什么方法”,更要解释“为什么用这个方法”。就像我们在模型选择部分所写的,要从LSTM和Transformer各自的特点出发,推导出结合两者的必然性和合理性。
- 结果解读:不要只罗列数据,要对数据进行学术化解读。比如,解释R²的提升意味着什么,DTW的降低又反映了模型哪方面的能力。结合图表,将预测曲线与真实曲线的对比“讲成一个故事”。
- 稳健性检验:这是论文的加分项。消融实验和分场景误差分析是证明模型可靠性的有力武器,建议所有预测类论文都加入。
未来展望:
尽管本研究取得了良好效果,但仍存在改进空间:
- 数据泛化性:当前模型仅基于一个观测站的数据,未来可纳入不同纬度带的更多站点数据,或采用迁移学习策略,提升模型的普适性。
- 多源数据融合:可进一步整合气象雷达、高分辨率卫星云图等多源遥感数据,强化模型对云系演变过程的表征能力。
- 物理约束:尝试将辐射传输模型等物理机制与深度学习框架进行耦合,提升模型在极端天气下的预测稳定性和物理可解释性。
- 模型轻量化:针对实时预测需求,可采用模型蒸馏、时序融合Transformer等轻量化架构,降低计算复杂度。
- 不确定性量化:引入概率预测方法,输出预测的不确定性区间,为电力系统规划提供更全面的风险预警。
专属增值福利
本文配套的论文建模可直接套用的完整代码包、实证分析写作模板,可阅读原文联系文末客服领取。如果你在变量匹配、模型适配论文主题方面没有把握,或遇到代码跑不通、结果不显著的问题,我们可提供全流程的AI辅助学术合规辅导、1v1建模陪跑服务,以及免费的代码预检服务,助力你顺利完成科研、通过答辩。
阅读原文进群获取完整内容及更多AI见解、行业洞察,与900+行业人士交流成长。


Python熵权法、CUSUM与PSO-BP组合模型在网球竞技动量实时监控与胜负预测研究|附数据代码
Python用XGBoost、梯度提升树、Lasso与极端随机树ETR功率变换器磁芯损耗建模及SLSQP优化 | 附数据代码
Python PyTorch用BERT-BiLSTM-FixedCRF中文医疗命名实体识别系统 | 附数据代码
Python梯度提升树、SHAP与递归特征消除构建血栓风险分级预测模型|附代码数据


