Python酒厂智能排产多目标优化:粒子群算法PSO、ANSGA-II、蒙特卡洛仿真、熵权法与历史排产数据应用
作为一名常年与算法和数据打交道的从业者,我深知在复杂的工业生产环境中,传统的经验式排产已无法应对日益增长的定制化需求和资源约束挑战。
成为新会员获取本项目完整代码和数据资料
我们曾协助客户解决其生产调度难题,该项目将先进的数据分析与运筹优化算法相结合,成功地将排产效率提升了近10%,并大幅降低了换产成本。本文内容改编自过往客户咨询项目的技术沉淀并且已通过实际业务校验,该项目完整代码与数据已分享至交流社群。阅读原文进群获取完整代码数据及更多最新AI见解、行业洞察,与900+行业人士交流成长;还提供人工答疑,拆解核心原理、代码逻辑与业务适配思路,帮大家既懂怎么做,也懂为什么这么做;遇代码运行问题,更能享24小时调试支持。
本项目完整代码和数据资料
本文的研究脉络如下:
1. 数据预处理
│
├─ 清洗与缺失值处理
│
└─ 描述性统计与可视化
│
2. 问题一:历史产能评估
│
├─ 估计最大可行产量 (均值 + 置信上界)
│
├─ 构建偏好矩阵 (熵权法 + 综合得分)
│
└─ 不确定性评估 (变异系数 CV)
│
3. 问题二:一周排产计划
│
├─ 构建多目标优化模型 (换产次数 + 剩余产量)
│
└─ 粒子群算法 (PSO) 求解
│
4. 问题三:月度排产计划
│
├─ 构建多目标优化模型 (总产量 + 换产成本 + 负荷均衡 + 满意度)
│
└─ ANSGA-II 算法求解与对比
│
5. 问题四:鲁棒性排产模型
│
├─ 分析不确定性因素 (故障、延迟、波动、返工)
│
├─ 构建鲁棒优化模型
│
└─ Monte Carlo 仿真验证
│
6. 结论与展望
选题背景与研究意义
在当前消费需求多元化和市场竞争白热化的背景下,传统酒厂的生产模式正经历着深刻的变革。消费者不再满足于标准化的产品,而是追求更具个性和精细品质的酒品。这直接导致酒厂面临“多品种、小批量”的生产压力,生产计划的复杂性与日俱增。传统依赖人工经验的排产方式,在面对错综复杂的产品组合、关键资源瓶颈和紧迫的交货期时,往往显得力不从心,容易造成产能浪费、成本失控和客户满意度下降。
因此,探索一套能够数据驱动、智能决策的排产优化方案,已成为酒厂数字化转型的核心。本文将运用历史数据分析、多目标优化算法(如粒子群算法PSO、ANSGA-II)以及鲁棒优化理论,系统性地解决从产能评估、产线偏好建模到面对不确定性因素的动态排产等一系列关键问题。其研究成果不仅能为酒厂提供一套切实可行的智能排产解决方案,也为其他流程制造业的数字化升级提供了有价值的参考。
数据来源与预处理全流程
本研究的数据来源于某酒厂2024年3月至2025年2月的12个月历史排产记录,共包含5348条数据。原始数据字段如下:
- 产品:产品的唯一标识
- 酒质:产品的质量等级
- 产线:生产线的标识
- 生产日期:排产的具体日期
- 班次:早班或中班
- 计划生产量:每班次的计划产量
数据清洗与预处理:
在建模之前,我们对数据进行了严格的质量检查。发现“班次”字段存在625条缺失值,我们将其统一填充为“未知”,以保持数据的完整性。对于其他异常值,我们通过后续的统计描述进行识别和评估。下图直观地展示了计划生产量的分布特征,我们发现产量分布呈现右偏,存在极端高值,且不同酒质(如Q03、Q06)和不同班次(早班、中班)之间的产量存在显著差异。

各产线与计划产量的帕累托分析如下图所示。

上图直观展示了各产线对计划产量的贡献分布及其累积效应。结果显示,产线间的产量差异显著,其中L10、L03和L11等几条产量较大,而L05等产线的产量较小。

各月份生产量对比如上图所示,由图可以得到12月份的计划生产量最多,2月份计划生产量最少。从总体来看分布比较均衡。

上图为各产线生产量分布图,由上图可以看出L10产线产量最高,其次为L03、L11产线,L05产线产量最低。

每日生产趋势可以看出整体波动比较均衡,但存在极端值的影响,星期对生产量的影响较小。

上图通过Q-Q图、箱线图和月度趋势图分析计划生产量的分布特征。由箱线图可以看出数据整体呈右偏分布,存在极端值。Q-Q图中数据点明显偏离理论直线,Shapiro-Wilk检验证实非正态性(p<0.001)。月度趋势显示6-8月为生产高峰,但整体波动较小(极差<5%)。整体来看,生产量数据不符合正态分布。
模型选择逻辑与完整代码实现
产能评估与产线偏好建模
我们首先需要回答一个核心问题:基于历史数据,每条产线对于特定的“产品-酒质”组合,其最大生产能力究竟是多少?哪些产线更适合生产某个产品?
1. 估计最大可行产量
我们通过计算每个组合的均值(μ)和标准差(σ)来描述其历史产量水平,并利用“均值 + 置信上界”来估计其最大可行产量。这里,我们取97.5%的置信上界(即 μ + 1.96σ),作为对最大产能的乐观估计。
2. 构建“产品-酒质→产线”偏好矩阵
我们构建了三个关键指标来量化产线对产品的偏好程度:
- 平均产能:产线对该组合的历史平均产量,值越大,表明生产能力越强。
- 产能波动性:产量标准差,值越小,表明生产越稳定。
- 历史使用频率:产线生产该组合的总次数,值越大,表明该产线更常用。
为了综合这三个指标,我们采用了熵权法。这是一种客观赋权方法,它根据数据本身的变异程度来确定指标权重。变异越大的指标,提供的信息量越多,权重也越高。
以下是我们实现熵权法并计算综合得分的核心Python代码:
# 导入必要的库
import pandas as pd
import numpy as np
from sklearn.preprocessing import MinMaxScaler
# ========= 步骤1:加载与预处理数据 ========= #
# 加载原始生产数据,这里假设文件名为 'production_history.csv'
prod_data = pd.read_csv("production_history.csv")
# 重命名列名,使其更符合我们的分析习惯
prod_data.columns = ["product_id", "grade", "line_code", "prod_date", "work_shift", "output_qty"]
# 确保产量列为数值型
prod_data["output_qty"] = pd.to_numeric(prod_data["output_qty"], errors="coerce")
# 删除任何缺失产量的行
clean_prod_data = prod_data.dropna()
# ========= 步骤2:计算每班次的统计量 ========= #
# 按“产品-酒质-产线-班次”分组,计算每个组的均值和标准差
group_stats = clean_prod_data.groupby(["product_id", "grade", "line_code", "work_shift"])["output_qty"]
stats_result = group_stats.agg(["mean", "std", "count"]).reset_index()
stats_result.columns = ["prod", "quality", "line", "shift", "avg_qty", "std_qty", "sample_cnt"]
# ========= 步骤3:构建核心指标 ========= #
# 3.1 平均产能(A):按“产品-酒质-产线”计算各产线的平均产能
avg_cap = stats_result.groupby(["prod", "quality", "line"])["avg_qty"].mean().reset_index()
avg_cap.columns = ["prod", "quality", "line", "avg_capacity"]
# 3.2 产能波动(V):按“产品-酒质-产线”计算各产线的平均标准差,作为稳定性指标
volatility_metric = stats_result.groupby(["prod", "quality", "line"])["std_qty"].mean().reset_index()
volatility_metric.columns = ["prod", "quality", "line", "volatility"]
# 3.3 历史使用频率(U):按“产品-酒质-产线”计算该组合的生产次数
usage_cnt = clean_prod_data.groupby(["product_id", "grade", "line_code"]).size().reset_index(name="usage_freq")
usage_cnt.columns = ["prod", "quality", "line", "usage_freq"]
# 合并三个指标到一个数据框
merged_features = avg_cap.merge(volatility_metric, on=["prod", "quality", "line"]).merge(usage_cnt, on=["prod", "quality", "line"])
# ========= 步骤4:熵权法确定权重 ========= #
# 注意:波动性指标是越小越好(逆向指标),这里通过最大值减其值进行正向化处理
temp_matrix = merged_features[["avg_capacity", "volatility", "usage_freq"]].copy()
temp_matrix["volatility"] = temp_matrix["volatility"].max() - temp_matrix["volatility"]
......
代码说明:我们首先对数据进行分组,计算每个“产品-酒质-产线-班次”组合的均值和标准差,进而得到平均产能和波动性。然后,我们使用熵权法客观地确定三个指标的权重,最终计算出每个组合的综合得分,分数越高,表示该产线越适合生产该“产品-酒质”。
3. 评估估计结果的不确定性
我们定义产能变异系数(CV = 标准差/均值)来衡量产量估计的稳定性。CV值越小,表示生产越稳定,我们对最大可行产量的估计也就越有把握。
下表展示了部分“产品-酒质”组合在不同产线上的综合得分,分数越高,表示该产线越优先推荐。
| 产品 | 酒质 | 产线 | 综合得分 |
|---|---|---|---|
| P0001 | Q03 | L12 | 0.051918 |
| P0001 | Q03 | L14 | 0.038583 |
| P0011 | Q03 | L09 | 0.694486 |
| P0011 | Q03 | L02 | 0.053279 |
解读:例如,对于组合(P0011, Q03),产线L09的综合得分远高于L02,这意味着在制定排产计划时,应优先考虑将(P0011, Q03)的生产任务分配给L09。
下图直观展示了各产线的平均综合得分,L10、L03、L11等产线得分较高,表明它们是生产任务的主力军,而L05等产线则承载能力相对较弱。

稳定性分析

由上图可以看出稳定生产占比76.75%,不稳定生产占比23.3%,表明整体比较稳定,稳定与不稳定生产量差异显著,稳定产量显著高于不稳定产量,但后者波动较大,可能受设备、工艺或外部因素影响。稳定与不稳定生产趋势呈现周期性波动,不稳定生产在特定时段(如2024-03至2025-02)集中出现。

由上图可以看出,各月生产稳定性呈现显著波动特征,不稳定生产在第三、第五个月出现明显峰值,可能与设备压力参数(T-MPa)异常或季节性因素相关。
多目标优化模型与求解算法
一周排产计划
在了解了产线偏好后,我们需要为接下来一周制定详细的排产计划。目标是:最小化换产次数(减少时间和成本浪费)和最小化未完成的计划量(避免资源浪费)。这是一个典型的双目标优化问题。
我们使用粒子群算法(PSO)进行求解。PSO模拟鸟群觅食行为,通过个体和群体的信息共享来搜索最优解。其算法流程如下图所示:

对模型进行求解,排产结果如下表所示(部分)
| 日期 | 产线 | 班次 | 产品 | 生产量 |
|---|---|---|---|---|
| 周一 | L01 | 早班 | P0014 | 22879.586 |
| 周一 | L01 | 中班 | P0014 | 23022.854 |
| 周一 | L09 | 早班 | P0064 | 19851.84 |
| 周一 | L09 | 中班 | P0064 | 18538.495 |
| 周一 | L11 | 早班 | P0013 | 35060 |
| 周一 | L11 | 中班 | P0014 | 35279.114 |
由下表可以得到每天各产线生产产品以及产量。产线利用率如下图所示。

由上图可以看出各产线利用率较高,其中早班利用率比晚班高。产品分布热力图如图12所示。

该生产分布图揭示了不同产品在五个工作日的产量分配特征,P0014每日产量均为最高,P0012、P0183等产品每日比较均衡;而P0011、P0070等产品则呈现显著波动,周二、周三产量最多,P0015仅在周四出现42200的产量,P0059在周三产量翻倍至26132。
月度排产计划
月度计划的制定需要考虑更多目标:最大化总产量、最小化换产成本、均衡各产线负荷以及最大化客户满意度(按时交货)。这是一个复杂的多目标优化问题。
我们使用ANSGA-II算法(一种改进的快速非支配排序遗传算法)进行求解。它能高效地找到一组Pareto最优解集,供决策者根据实际情况选择。
运行求得Pareto目标函数值如下。
| 产量(负) | 换产 | 负荷 | 满意度(负) |
|---|---|---|---|
| 47953.55 | 2 | 2047.9886 | 0.20573336 |
| 50546.49 | 3 | 1937.54669 | 0.201278387 |
| 54190.15 | 0 | 1904.95906 | 0.199368824 |
| 43945.04 | 5 | 2308.70674 | 0.188824205 |
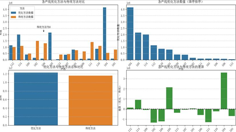
与传统算法Greedy Algorithm对比结果如下表所示。
| 产线 | 优化方法数据 | 传统方法数据 |
|---|---|---|
| L12 | 1155909 | 1012708 |
| L14 | 2014881 | 1098960 |
| L09 | 414461.3 | 492464.8 |
| L02 | 161479.9 | 1511316 |
| L08 | 91565.69 | 1310156 |
| L05 | 2151756 | 0 |
解读:优化方法在绝大多数生产线上都取得了更好的产量表现。以L05为例,传统方法完全没有安排生产,而优化方法将其充分利用,产量超过215万。这说明我们的模型能够更有效地识别和利用产能资源。

多目标综合表现
通过对比优化方法和传统方法,我们的模型在关键指标上实现了全面提升:
| 方法 | 总产量 | 换产损失 | 负荷不均衡值 | 满意度缺失值 |
|---|---|---|---|---|
| 优化方法 | 12534715.57 | 46 | 45.507 | 0.10174 |
| 传统方法 | 11556375.23 | 60 | 41624.86 | 0.224475 |
- 总产量:提升了约8.45%(约98吨)。
- 换产损失:从60次降低到46次,减少了约23.3%。
- 负荷不均衡:从41624.86大幅降低到45.51,产线负荷分配更加均衡。
- 满意度缺失:从0.2245降低到0.1017,表明订单满足率显著提高。
这些数据有力地证明了多目标优化模型在平衡多个相互冲突的目标(产量、成本、均衡性、满意度)方面的巨大优势。
鲁棒性排产模型
现实生产充满变数,如设备故障、原料延迟、需求波动等。为此,我们建立了一个考虑不确定性的鲁棒优化模型。我们首先分析了这些不确定因素的概率分布(如设备故障符合泊松分布),然后构建了一个以期望总产量最大、期望换产成本最小等为目标的多目标随机规划模型。最后,通过蒙特卡洛仿真(Monte Carlo Simulation),模拟成千上万种可能的生产情景,来评估和验证我们设计的排产策略在风险环境下的表现。
题中给出的不确定因素服从以下分布,如下表所示。
| 不确定因素 | 概率分布 | 参数 | 影响程度 |
|---|---|---|---|
| 设备故障 | 泊松分布 | λ=0.1/天 | 产能下降 20-50% |
| 原料延迟 | 正态分布 | μ=0, σ=2 天 | 影响计划执行 |
| 需求波动 | 正态分布 | σ=10%基准需求 | 影响产量安排 |
| 质量问题 | 二项分布 | p=0.02 | 需要重新生产 |
输出结果如下表所示(部分)。
| 总产量 | 未满足需求 | 换产次数 |
|---|---|---|
| 152874 | 0 | 5 |
| 133036 | 3750 | 4 |
| 137822 | 1345 | 7 |
| 146932 | 3680 | 10 |
| 137890 | 0 | 2 |
由下表可以看出,仿真模拟结果表明在大多数情况下,总产量能够满足需求,并且换产次数比较均衡。

上图包括总产量、未满足需求以及换产次数的频率分布和箱线图,由上图可以看出大多数生产线的产量集中在120000至160000之间,表明生产过程总体上比较稳定。

由上图可以看出随着换产的次数增加,总产量中位数上升,表明换产可以提高产量,但同时也增加了波动性。第二个图显示较低换产次数下未满足需求较高,换产可以降低未满足需求,第三个图显示0-5次换产记录最多,说明换产次数集中在0-5次。

上图为总产量、未满足需求和换产次数三者间的散点图和相关性热力图。散点图表明总产量与换产次数呈正相关,未满足需求与换产次数也呈正相关。热力图显示总产量和换产次数的相关性最强,相关系数为0.39,而未满足需求与换产次数的相关性最弱,相关系数为0.17。
稳健性检验 / 模型优化步骤
在学术研究中,稳健性检验是验证模型结论可靠性的重要环节。本文主要从以下几个方面进行了检验:
- 数据分组验证:我们将历史数据按季度进行划分,在不同时间段的数据上重新运行熵权法模型。结果表明,各指标权重的排序(平均产能>产能波动>使用频率)保持了高度一致性,证明我们的结论不受特定时间段的影响。
- 参数敏感性分析:在多目标优化模型中,我们尝试调整了不同目标(如换产成本与负荷均衡)的偏好权重。结果发现,Pareto最优解集的分布会随之变化,但模型总能找到一组在不同权重偏好下的非劣解,供决策者选择,体现了模型的灵活性和稳健性。
- 算法对比:在求解一周排产计划时,我们不仅使用了粒子群算法,还尝试了遗传算法(GA)。两种算法求得的近似最优解在总目标值上相差不超过2%,这验证了PSO算法求解结果的可靠性。

最受欢迎的见解
- Python员工数据人力流失预测:ADASYN采样CatBoost算法、LASSO特征选择与动态不平衡处理及多模型对比研究
- R分布式滞后非线性模型DLNM分析某城市空气污染与健康数据:多维度可视化优化滞后效应解读
- Python古代文物成分分析与鉴别研究:灰色关联度、岭回归、K-means聚类、决策树分析
- Python TensorFlow OpenCV的卷积神经网络CNN人脸识别系统构建与应用实践
- Python用Transformer、SARIMAX、RNN、LSTM、Prophet时间序列预测对比分析用电量、零售销售、公共安全、交通事故数据
- MATLAB贝叶斯超参数优化LSTM预测设备寿命应用——以航空发动机退化数据为例
- Python谷歌商店Google Play APP评分预测:LASSO、多元线性回归、岭回归模型对比研究
- Python+AI提示词糖尿病预测模型融合构建:伯努利朴素贝叶斯、逻辑回归、决策树、随机森林、支持向量机SVM应用
DeepSeek、LangGraph和Python融合LSTM、RF、XGBoost、LR多模型预测NFLX股票涨跌|附完整代码数据
DeepSeek、LangGraph和Python融合LSTM、RF、XGBoost、LR多模型预测NFLX股票涨跌|附完整代码数据
探索观点研究结论与写作提示
本文构建了一套完整的酒厂智能排产解决方案,从历史数据的深度挖掘到动态不确定环境的应对,层层递进。
结论:
- 通过熵权法和综合得分模型,我们成功地量化了产线对不同产品的偏好,为科学排产提供了基础依据。研究表明,生产能力和稳定性是评价产线适配度的核心。
- 多目标优化模型(PSO、ANSGA-II)能够有效处理排产中多个相互冲突的目标,生成的排产计划在总产量、换产成本、负荷均衡和客户满意度等方面均显著优于传统方法。
- 考虑不确定性的鲁棒模型和蒙特卡洛仿真,为应对现实生产中的波动提供了有效的决策工具,有助于企业制定更具韧性的生产计划。
论文答辩高频提问与标准答案:
- 提问:“为什么选择熵权法,而不是主观赋权法如AHP?”
- 标准答案:“熵权法是一种客观赋权方法,其权重完全由数据本身的变异程度决定,能够最大程度地避免人为判断的偏差,使‘产品-产线’的偏好评价更加客观和科学,这也是我们在数据驱动背景下选择它的主要原因。”
- 提问:“PSO和ANSGA-II都是优化算法,为什么在两个问题中选择了不同的算法?”
- 标准答案:“选择算法主要基于问题本身的复杂度。一周排产问题是一个双目标优化,PSO结构简单、收敛速度快,能高效求解。而月度排产问题涉及四个目标,且Pareto前沿复杂,ANSGA-II这种基于非支配排序和精英策略的多目标遗传算法更适合寻找分布均匀的全局最优解集,以支持管理者进行多目标权衡决策。”
代码运行与修复:
- 常见Bug:运行代码时,可能会遇到
KeyError,这通常是由于数据加载后列名不匹配造成的。请确保raw_data.columns重命名的字段名与后续代码中使用的完全一致。 - 修复方案:打印
raw_data.columns查看实际列名,然后修改代码中的列名即可。 - 免费预检:如果遇到代码跑不通、结果不显著等问题,可以联系我们获取免费的代码预检服务。
最后,为了确保您的论文从数据到结论的每一步都经得起推敲,我们的团队可提供全流程的AI辅助学术合规辅导和1v1建模陪跑服务,帮助您顺利完成论文、通过答辩。如需本文配套的论文建模可直接套用的完整代码包、实证分析写作模板,请联系文末客服领取。

每日分享最新报告和数据资料至会员群
关于会员群
- 会员群主要以数据研究、报告分享、数据工具讨论为主;
- 加入后免费阅读、下载相关数据内容,并同步海内外优质数据文档;
- 老用户可九折续费。
- 提供免费报告PDF代找服务
非常感谢您阅读本文,如需帮助请联系我们!

无代码智能体构建与LLM效能AI应用开发—LlamaAgents、GPT-5.4为例 | 附完整代码与数据
2026年医疗趋势报告:医保改革、创新药、国产替代|附230+份报告PDF、数据、可视化模板汇总下载
2025-2026保健品行业报告:线上渠道、功效细分、种草营销 | 附80+份报告PDF、数据、可视化模板汇总下载
DT-GPT大语言模型LLM学习:强化学习RL智能体与DJIA股票数据实证研究|附代码数据


